Home» News» Updates» Study reports on most suitable tillage practices for black soil region in China

Study reports on most suitable tillage practices for black soil region in China

IARRP | Updated: 2025-04-14

A team of researchers from the Institute of Agricultural Resources and Regional Planning at the Chinese Academy of Agricultural Sciences have published their findings into the suitability of various tillage practices in the Northeast Black Soil region of China in Soil & Tillage Research.

The Northeast Black Soil region in China is one of the four major black soil areas globally and is crucial for food security of China. However, conventional tillage practices have led to severe degradation of the black soils, resulting in the loss of soil organic matter and nutrients, soil compaction, and increased erosion. While conservation tillage can improve soil quality and promote soil health to some extent, there are risks of reduced crop yields, and its suitable areas and mechanisms are not yet clear.

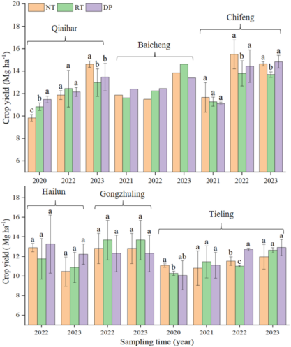
To clarify the effects of different tillage practices on soil quality and crop yields in the Northeast Black Soil region in China and their driving factors, an experiment involving different tillage treatments was conducted at six sites (Qiqihar, Baicheng, Chifeng, Hailun, Gongzhuling, and Tieling).

The research results indicate that no-tillage is preferable in semi-arid areas, as it helps retain moisture and increases soil organic carbon through straw mulching, alleviating drought stress. However, it should be combined with early-maturing varieties of maize or plastic mulching to address low temperatures during sowing. On the other hand, deep plow is more suitable in semi-humid areas, improving subsoil structure and increasing soil temperature to achieve higher and more stable yields. It is recommended to combine deep plow with straw return to compensate for surface soil nutrient losses.

The study also provides adaptive strategies for the Northeast Black Soil region in China: establishing a "climate-soil-tillage" synergy model, promoting no-tillage in arid areas, optimizing deep plowing in humid regions, and strengthening long-term monitoring to assess soil health evolution, ensuring the proper management of the valuable black soils.

图片1.png

Figure 1. Maize yields under different tillage treatments (no-tillage, NT; rotary tillage, RT; deep plowing, DP) at the six experimental sites.

Professor Peng Xinhua from the Institute of Agricultural Resources and Regional Planning at the Chinese Academy of Agricultural Sciences was the corresponding author of the paper, with doctoral student Jiang Fahui as the first author. The research received funding from the National Key Laboratory of Efficient Utilization of Dryland and Semi-arid Farmland, the National Natural Science Foundation of China, and the National Key R&D Program.

Article link: https://www.sciencedirect.com/science/article/pii/S0167198724003805